Q:
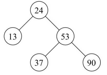
在该平衡二叉树中插入关键字48后得到的新平衡二叉树为
A: 
Q: 某计算机主存地址空间大小为 64MB,现用多个 RAM 芯片组成了 32MB 的主存储器。按字节编址。
问:存储器地址寄存器 MAR 的位数至少是多少?
A: 26 位
- MAR 位数由地址空间 (64MB) 决定,而非实际安装容量 (32MB)。
- 计算:
。 - 所以需要 26 位地址线。
Q:
在该平衡二叉树中插入关键字48后得到的新平衡二叉树为
A: 
Q: 某计算机主存地址空间大小为 64MB,现用多个 RAM 芯片组成了 32MB 的主存储器。按字节编址。
问:存储器地址寄存器 MAR 的位数至少是多少?
A: 26 位